이번 글에서는 IDP 구름 복합체의 기원을 6 가지 종류의 근원 개체군 (C-, X-, S-, B-, D 형 소행성 (혜성 핵 포함) 및 성간 먼지 입자)으로 제한하고 그 가능성을 조사했습니다. 각 인구의 부분적 기여. Bayes의 정리에 따르면, 분수 기여의 특정 조합의 확률은 특정 조합의 확률에 비례하여 IDP 구름 복합체의 관찰 된 광학적 특성을 생성합니다. 이 작업에서는 몬테카를로 (MC) 계산을 통해 후자의 확률을 계산했습니다. MC 계산이 특정 부분 기여의 여러 경우에 대해 수행 된 경우Bayes 정리를 통해 부분 기여의 확률을 비교할 수 있습니다. 2 % 간격으로 가능한 모든 부분 기여도 조합에 대해 MC 시뮬레이션을 수행했습니다. 인구 유형에서 물체를 선택하고 알베도와 스펙트럼 기울기 사이의 상관 계수를 계산할 때 절대 값은 C 유형 S의 경우 -0.14, -0.04, 0.16, -0.36 및 -0.11만큼 낮았습니다. -유형, X 유형, B유형 및 D 유형 소행성 각각. 따라서 우리는 알베도와 스펙트럼 기울기라는 두 가지 속성을 서로 독립적으로 고려하고 관찰 된 값의 확률을 알베도와 스펙트럼 기울기의 확률의 곱으로 처리했습니다. 모집단 내에서 알베도가 로그 정규 분포를 따르는 반면 스펙트럼 기울기는 가우스 분포를 따른다고 가정했습니다.

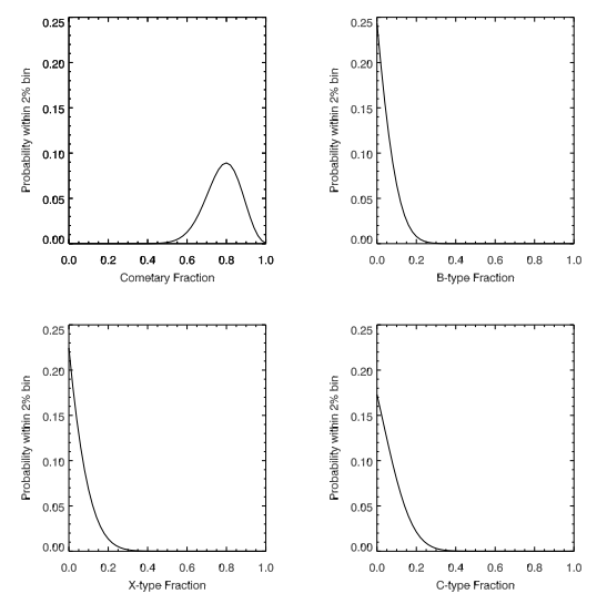
IDP에 제한적으로 기여하는 성간 먼지 입자는 태양계 물체의 광학 특성과 매우 다른 광학 특성을 갖기 때문에 성간 먼지 입자는 고정 된 알베도 값 A = 0.673 및 스펙트럼 구배 S를 갖는다 고 가정했습니다. = −23.2 ± 0.8 % · 1000 ˚A−1 (Draine 2003), 다음 분석에서는 통계적 분포를 고려하지 않았습니다. 성간 먼지의 광학적 특성은 평균 은하수 먼지로 추정되었으므로 태양 주변의 성간 먼지는 값에 따라 다를 수 있습니다. 그러나 우리는이 작업에서 그러한 가능성을 무시했습니다. 소스 모집단의 부분 기여도 조합을 위해 2 % 그리드를 만들었습니다. 그런 다음 주어진 기여도에 따른 소스 집단의 확률 분포의 선형 조합을 통해 단일 먼지 입자의 광학적 특성에 대한 혼합 확률 분포를 생성 할 수있었습니다. 평균 알베도에 따라 다른 개체군에 가중치를 부여했습니다. 단일 입자에 대한 확률 분포에서 MC 시뮬레이션을 사용하여 IDP 복합체에 대한 알베도와 스펙트럼 기울기 모두의 예상 평균 값을 계산했습니다. 모든 그리드 지점에서 500 개의 샘플 입자의 평균 광학 특성 값이 3000 회 계산되었습니다. 이러한 조건에서 3000 개의 평균값은 황도광 측정에 대한 불확도의 10 % 미만의 표준 편차로 가우스 분포를 따릅니다. 각 격자 점에서 MC 시뮬레이션의 평균값 분포를 오류가있는 황도광의 측정 값과 비교하여 격자 점에서 가상의 IDP 구름을 관찰하면 측정 값이 나올 확률을 도출했습니다. 확률은 플랫 사전을 사용하는 베이지안 분석을 통해 실제 부분 기여도를 나타내는 그리드 포인트의 확률로 간주되었습니다. 표 2.2는 개별 소스에서 IDP 클라우드에 기여한 결과를 보여줍니다. 범위 (표 2.2에서 더하기 및 빼기 기호로 표시됨)를 도출하기 위해 6 차원 그리드에서 동일한 확률로 등고선을 만들고 가장 가능성이 높은 경우 주변의 등고선 내 총 확률을 계산하고 범위를 도출했습니다. 68.3 % 신뢰 구간으로. 2.2 절에서 예측 한 바와 같이 혜성 핵 (Dtype 소행성 포함)이 IDP 구름의 주요 기여자 (~ 94 %)임을 발견했습니다. 나머지 부분 (~ 6 %)은 C 형, X 형, B 형 소행성에서 비롯됩니다. S 형 소행성과 성간 먼지는 IDP에 미미한 영향을 미칩니다
'천문학' 카테고리의 다른 글
| 행성간 먼지입자와 황도광의 비교분석 (0) | 2020.12.31 |
|---|---|
| 황도광 베이지안 연구의 타당성 (0) | 2020.12.31 |
| 황도광의 스펙트럼 구배 (0) | 2020.12.31 |
| 황도광의 광학적 특성 (0) | 2020.12.30 |
| 행성 간 먼지 입자의 진화 (0) | 2020.12.30 |
댓글